Skip to content
Алтыншаш ана
БӨБЕКЖАЙ-БАЛАБАҚШАСЫ
БАЛАБАҚША
БАЛАБАҚША ТУРАЛЫ
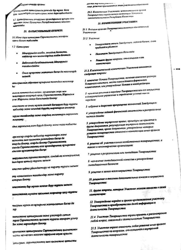
БСН ЖӘНЕ МЕКЕМЕ ЖАРҒЫСЫ
ЛИЦЕНЗИЯЛАР
БАЛАБАҚША ҰЖЫМЫ
ЖЕТІСТІКТЕРІ
БАЛАЛАР ЖЕТІСТІКТЕРІ
ПЕДАГОГТАР ЖЕТІСТІКТЕРІ
ПЕДАГОГТАРДЫҢ БІЛІКТІЛІК АРТТЫРУЫ
МАҚАЛА, ГАЗЕТ, ЖУРНАЛДАР
ӘДЕП КЕҢЕСІ
ҚАМҚОРШЫЛЫҚ КЕҢЕС
ӘДІСТЕМЕЛІК ЖҰМЫС
КҮН ТӘРТІБІ, ОҚУ ІС-ӘРЕКЕТ КЕСТЕСІ
АШЫҚ ОҚУ ІС-ӘРЕКЕТТЕРІ
МЕРЕКЕЛІК ІС-ШАРАЛАР
«БІРТҰТАС ТӘРБИЕ» БАҒДАРЛАМАСЫ ІС-ШАРАЛАРЫ
МЕКТЕППЕН БАЙЛАНЫС
ДЕНСАУЛЫҚ
БЕЛСЕНДІ ЖАТТЫҒУЛАР
БАЛАЛАРДЫҢ АС МӘЗІРІ
МЕЙІРБИКЕ БҰРЫШЫ
ПСИХОЛОГ БҰРЫШЫ
САНБЮЛЛЕТЕНЬ
АТА-АНАҒА
БАЛАБАҚШАҒА ТІРКЕЛУ
ҚАУІПСІЗДІК ШАРАЛАРЫ
БАЛАНЫҢ БАЛАБАҚШАҒА БЕЙІМДЕЛУІ
АТА-АНАЛАРМЕН ҚАРЫМ ҚАТЫНАС
АТА-АНАЛАР КОНСУЛЬТАЦИЯЛЫҚ ПУНКТІ
БАЛАБАҚШАМЕН ТАНЫСУ
БАЛАБАҚША АУЛАСЫ
БАЛАБАҚШАНЫҢ ІШКІ СУРЕТТЕРІ
БАЛАПАН КІШІ ТОП
БАЛДЫРҒАН ОРТАҢҒЫ
БАЛАУСА ЕРЕСЕК ТОП
БАЛДӘУРЕН ЕРЕСЕК ТОП
БАЛБӨБЕК МЕКТЕПАЛДЫ
ӨЗІН-ӨЗІ БАҒАЛАУ
КЕМШІЛІКТЕР МЕН ТОЛЫҚТЫРУЛАР
БСН ЖӘНЕ МЕКЕМЕ ЖАРҒЫСЫ